L’uso della reologia per preparare l’impasto della pizza rinunciando al lievito.
L’esperimento, il cui procedimento è stato pubblicato ieri dalla rivista Physics of Fluids mira a trovare un metodo per eliminare l’uso del lievito nella preparazione degli impasti per pizza e ridurre i tempi di lievitazione degli stessi utilizzando un agente espandente gassoso e il controllo pressione.
Lo sviluppo della struttura dell’impasto è stata studiata osservando la caratterizzazione reologica alle condizioni di lievitazione e cottura; infatti la reologia misura il flusso e la deformazione di un materiale. I risultati, stando a quanto riporta il sito Agi.it, che ha scritto sull’argomento, sono stati usati per misurare il tempo necessario per l’assorbimento dell’agente espandente sotto pressione durante la fase di cottura iniziale e per gestire il rilascio della pressione durante la fase finale della stessa, al fine di ottenere una pizza alveolata in modo ottimale.
La regolazione del flusso di pressione mediante l’analisi reologica ha permesso di gonfiare delicatamente le bolle nella misura desiderata. “Abbiamo principalmente studiato come si comporta l’impasto con e senza lievito. Come cambia la morbidezza con la lievitazione e come l’impasto risponde a un programma di temperatura durante la cottura”, ha affermato l’autrice Rossana Pasquino. “Questo è stato fondamentale per progettare il protocollo di pressione per l’impasto senza lievito”. Dopo molti test di assaggio non ufficiali, i ricercatori stanno acquistando un’autoclave più grande per uso alimentare che produrrà pizze a grandezza naturale in esperimenti futuri. Sperano di vedere la loro idea utilizzata nelle pizzerie. “Ci siamo divertiti molto ad applicare cose che conosciamo bene a polimeri deliziosi, invece della nostra plastica puzzolente tipica e talvolta noiosa”, ha detto Pasquino. “L’idea di avvicinare campioni di cibo con le stesse tecnologie e conoscenze utilizzate per i polimeri termoplastici ha avuto un successo sorprendente!” In quanto persona allergica al lievito, Di Maio è entusiasta anche delle applicazioni per altri prodotti lievitati come pane, torte e snack. “Questa nuova tecnologia può guidare lo sviluppo di nuovi prodotti, nuove formulazioni di impasti e ricette specifiche per intolleranze alimentari, aiutando le persone a gustare cibi sani e gustosi”, ha affermato.
E’ risaputo che il lievito attiva un processo biochimico che favorisce la lievitazione dell’impasto, la formazione di alveoli e lo sviluppo dello stesso in prelibatezze leggere, ariose e gustose. Senza lievito è difficile realizzare prelibatezze dal gusto e consistenza caratteristici. La pizza perfetta e senza lievito, in quanto tale, rappresenta una sfida importante per i pizzaioli, i panificatori, i pasticcieri e una speranza per gli intolleranti al lievito, che già pregustano nuove e gustose ricette per pizza
Per monitorare le fasi della lievitazione attivata con e senza lievito, stando a quanto pubblicato dalla rivista Physics of Fluids i ricercatori dell’Università degli studi di Napoli Federico II hanno hanno utilizzato piccole porzioni di impasto, preparato da un pizzaiolo, poste in un macchinario progettato per aumentare la temperatura e la pressione, attivando di fatto il medesimo processo con cui si produce la carbonatazione nella soda. Il gas viene sciolto nell’impasto ad alta pressione, e le bolle si sviluppano quando la pressione viene rilasciata durante la cottura. Rispetto ad altri esperimenti scientifici, le pressioni coinvolte erano lievi, perché, diversamente dalla soda, l’impasto della pizza non risponde altrettanto bene a un brusco cambiamento di pressione. “La chiave del processo è progettare la velocità di rilascio della pressione per non stressare l’impasto, che ama espandersi delicatamente”, ha affermato l’autore Ernesto Di Maio.
Il lievito nella pizza, ma non solo.
E’ un agente espandente biochimico che rilascia anidride carbonica come prodotto di una reazione di fermentazione, durante la cosiddetta fase di lievitazione. La lievitazione è un processo piuttosto lento che può richiedere anche diverse ore a seconda della concentrazione di lievito e, tra l’altro, delle condizioni esterne di temperatura e umidità relativa, della logistica di produzione vincolante e della produttività. I principi della panificazione, ovvero la preparazione dell’impasto, la lievitazione e la cottura al forno, sono stati stabiliti per mille anni. Prima che il lievito preparato in commercio diventasse ampiamente disponibile, la panificazione veniva condotta mescolando farina di frumento e acqua e quindi consentendo ai lieviti selvatici dispersi nell’aria di depositarsi e fermentare l’impasto. Questo processo ha richiesto diverse ore. Per aumentare la produttività, sia la lievitazione che le altre fasi di panificazione sono state ampiamente studiate, e negli ultimi decenni sono state proposte nuovi metodi di lavorazione. Nel 1958 Collins scoprì che la quantità di lavoro meccanico applicato all’impasto durante la miscelazione aveva un effetto importante sulla qualità del pane.
Sulla base di tale idea, progettò il processo del pane Chorleywood (CBP). In questo processo, le bolle d’aria (cellule) si sono formate intrappolando l’aria nell’impasto durante un’intensa miscelazione ad alta velocità. La morfologia cellulare è il risultato di un processo di inclusione/frammentazione derivante dall’azione di miscelazione meccanica. Il CBP aveva bisogno di più lievito per dare lo stesso aumento di volume dell’impasto rispetto al metodo tradizionale. Era necessaria anche più acqua a causa della migliore idratazione della farina che si verifica durante la miscelazione intensiva.
Anche lo sviluppo dell’impasto attivato (ADD), un metodo che utilizza una combinazione di processi chimici e meccanici, che richiedono un tempo di fermentazione di massa molto breve, è stato sviluppato negli Stati Uniti all’inizio degli anni ’60. Allo stesso modo, il processo di pasta verde olandese è stato sviluppato nel stesso periodo, senza alcuna fermentazione.
L’evoluzione del lievito
Al giorno d’oggi, i prodotti senza lievito stanno riscuotendo un crescente interesse. Infatti, come riportato da Altman e Chiaramonte, l’intolleranza al lievito è un problema di salute crescente. Un recente studio condotto da Vitavigor, azienda leader nei prodotti senza lievito, mostra che 9 consumatori su 10 preferiscono acquistare prodotti senza lievito anche senza intolleranze o allergie. I clienti considerano i prodotti senza lievito di qualità superiore (33,7%), leggeri (27,6%), sani (24%) e digeribili (7,3%) rispetto ai prodotti lievitati. I restanti (7,3%) preferiscono acquistare prodotti senza lievito solo per curiosità.
-Per far fronte a queste esigenze sono state proposte tecnologie per la panificazione senza lievito basate sulla alveolatura fisica. Douglish ha introdotto un metodo di panificazione in cui l’acqua viene saturata con CO2 ad alta pressione e quindi (sempre ad alta pressione) mescolata con la farina. Al termine del tempo di impasto, l’impasto viene espulso da un ugello dalla pressione interna, con conseguente espansione.
Questo processo ha consentito la produzione continua di impasti lievitati pronti per la cottura in cui il lievito è sostituito da SC-CO2 come agente lievitante, ottenendo densità dell’impasto paragonabili a quelli con lievito. Della Valle et al. ha suggerito che due fasi del processo di panificazione sono fondamentali per la struttura cellulare del prodotto finale: la lievitazione e la cottura.
Il volume e la porosità dell’impasto aumentano principalmente nella fase di lievitazione, dove si crea la struttura cellulare. In questa fase le bolle crescono liberamente grazie alla CO2 prodotta dal lievito. Dopo un periodo critico, le bolle iniziano a collegarsi tra loro e possono fondersi. È stato anche notato che la concentrazione finale di CO2 nell’impasto non dipende dalla concentrazione di lievito e dal numero di nuclei dopo la fase di miscelazione, ma solo dalla solubilità del gas. Durante la fase di cottura la struttura cellulare è solo leggermente modificata, ma è determinata da due fenomeni concomitanti, la transizione pasta/briciola (irrigidimento della pasta tra 60 °C e 70 °C, aumento del modulo elastico di più di un decennio) e la formazione della crosta.
Le due fasi
Le tecnologie disponibili, sia tradizionali che senza lievito, si basano sempre su due fasi separate (e due diverse attrezzature) per la lievitazione e la cottura. Di recente, uno dello staff ha sviluppato un nuovo processo per combinare il processo di lievitazione a gas con l’agente espandente chimico del poliuretano termoindurente (PU). Nonostante questo metodo possa sembrare audace e incongruo, sia il pane che il poliuretano si ottengono dopo due processi concorrenti. Il primo induce una solidificazione della formulazione inizialmente fluida, il seconda determina la formazione di una fase gassosa responsabile della formazione di bolle. Una buona lievitazione (ottimizzata per l’isolamento termico, nel caso del PU, gustosa e sensorialmente gradevole, nel caso della pizza) si ottiene se le due reazioni sono concorrenti, con tempo caratteristico tipico O(102 s). Il nuovo processo di lievitazione del PU consiste nell’utilizzo di un’autoclave e di un sistema di pressurizzazione e rilascio che consente l’assorbimento di un agente espandente fisico sotto pressione, seguito da una rapida caduta di pressione a una pressione intermedia per formare una miriade di bolle e, infine, da una pressione lenta diminuire alla pressione ambiente per inseguire le fasi finali della reazione di indurimento. È stata ottenuta una regolazione fine della densità e della morfologia della schiuma adattando la storia della pressione alla cinetica di polimerizzazione specifica del poliuretano/agente espandente, misurata mediante spettroscopia a infrarossi. La reologia si è rivelata fondamentale per studiare l’impasto e la sua evoluzione durante la lavorazione, per caratterizzare la consistenza e per controllare il processo e la qualità. L’impasto è noto per essere altamente non newtoniano, dipendente dal tempo, dalla deformazione e viscoelastico. Il l’indagine sulla reologia dell’impasto ha una lunga storia. La serie di articoli di Schofield stabiliva il comportamento simil-solido dell’impasto, con un modulo elastico G′ sempre superiore al modulo viscoso ?″G″ nell’intero spettro di frequenza. Da allora, ci sono state molte indagini reologiche e vari tentativi di modellazione con modelli meccanici analogici.
-L’impasto è un solido-morbido, che può essere considerato come una rete elastomerica riempita formata da particelle di amido duro. L’impasto lievitato si comporta reologicamente come l’impasto non lievitato. Le misurazioni reologiche possono fornire informazioni sul comportamento dell’impasto durante le diverse fasi di lievitazione, lievitazione e cottura. Per un’analisi reologica fondamentale sui sistemi di impasto, la regione viscoelastica lineare di solito viene interrogato poiché un test dinamico oscillatorio non è distruttivo se eseguito a basso stress/deformazione. Con l’uso della reologia è anche possibile capire l’effetto di singoli e specifici ingredienti (es. farina, acqua salata e lievito ) sulle proprietà meccaniche del prodotto finale. Keentok ha studiato l’influenza di quattro diverse farine commerciali sulle prestazioni reologiche dell’impasto di pane, trovando che le farine più forti, cioè con un contenuto maggiore di glutine, producono un impasto più debole. Tale comportamento è in accordo con altri lavori su sistemi simili hanno evidenziato l’importanza del sale nella formulazione dell’impasto, riportando che l’elasticità aumenta all’aumentare dei livelli di sale. Angioloni e Dalla Rosa hanno dimostrato che l’aggiunta di sale può modificare significativamente le proprietà viscoelastiche del prodotto finale. Aumentando la velocità di impasto dell’impasto con il sale, G′ aumenta per una migliore solubilizzazione del sale nell’impasto. Essi consideravano un impasto una soluzione polimerica concentrata. Hanno dimostrato che l’acqua gioca un ruolo chiave nella formulazione dell’impasto agendo sia come riempitivo inerte, provocando la diminuzione dei moduli viscoelastici proporzionalmente al contenuto di umidità, sia come lubrificante, potenziando il fenomeno di rilassamento e, quindi, diminuendo il tempo di rilassamento più lungo. Come sopra menzionato, il lievito è uno degli ingredienti principali nella formulazione dell’impasto. Salvador ha studiato l’influenza del contenuto di lievito sui moduli dinamici sia in condizioni isoterme che durante un processo di riscaldamento, e scoperto che le proprietà viscoelastiche diminuiscono all’aumentare della concentrazione di lievito.
In questo contesto si prevede la possibilità di introdurre l’attuale metodologia sviluppata per le PU in campo da forno, evitando la lievitazione ed eliminando la lunga lievitazione, unendo più fasi di lavorazione (lievitazione e cottura) in un’unica. Il punto chiave del nuovo processo è la storia della pressione imposta che deve essere progettata in base al processo di solubilizzazione e alla cinetica di stagionatura (cottura nel caso del pane o della pizza). In questo modo è possibile sincronizzare la formazione dei moduli con il rilascio di pressione. In particolare, hanno adottato tale procedura per un processo di cottura speciale: la pizza. “Abbiamo dimostrato che è possibile ottenere una pizza napoletana senza lievito simile a quella tradizionale, dove sia la densità che la morfologia cellulare possono essere regolate dalle variabili del processo di lievitazione“.
Materiali e metodi utilizzati

I prodotti utilizzati (Farina di frumento (Nuvola, Mulino Caputo, San Giovanni a Teduccio, Napoli, Italia, sale marino iodato, Sale marino iodato fino, Gemma di Mare, Porto Viro, Rovigo, Italia, acqua di rubinetto e lievito di birra Lievito fresco per pizza pane e dolci, Lievital, San Quirico di Sissa Trecasali, Parma, Italia) sono stati utilizzati senza ulteriore purificazione per preparare l’impasto della pizza.
Preparazione dell’impasto per pizza
L’impasto per pizza tradizionale è stato preparato secondo il regolamento (UE) n. 97/2010 della Commissione Europea. È stata utilizzata una impastatrice (Kneading Machine 5L, Hauswirt Electric, Shunde City, Cina) con un gancio per impastare, secondo la procedura seguente : 60 mL di acqua del rubinetto sono stati versati nel recipiente
2,5 g di sale marino sono stati aggiunti e agitati manualmente. Quindi sono stati aggiunti 10 g di farina e 0,15 g di lievito di birra e l’impastatrice è stata avviata a 60 rpm. Durante la miscelazione, sono stati aggiunti gradualmente altri 90 g di farina entro 8 min. Infine, l’impasto è stato lavorato dall’impastatrice per altri 15 min, monitorando la temperatura mediante una termocoppia J. Durante la fase di impasto, la temperatura dell’impasto è stata misurata nell’intervallo 24±2 °C. L’impasto ottenuto è stato conservato ad una temperatura di 25±2 °C e ad un’umidità relativa del 75% per la fase di lievitazione. Il controllo dell’umidità è stato ottenuto mediante l’uso di una soluzione satura di cloruro di sodio. Per l’impasto senza lievito è stata utilizzata la stessa procedura. Gli impasti con lievito e senza lievito sono denominati, di seguito, rispettivamente YD e NYD. C. Esperimento time-lapse Per monitorare la fase di lievitazione è stato utilizzato un setup fotografico time-lapse fatto in casa. Uno speciale obiettivo macro, progettato specificamente per la macrofotografia (MP-E 65 mm f/2.8 1–5 Macro Photo Lens), è stato montato su una fotocamera full frame (Canon EOS 6D), offrendo immagini di qualità eccezionalmente elevata. La fotocamera mette a fuoco un campione di pasta sferica di ca. 10 mm di diametro, posizionati in un’incubatrice dotata di finestra trasparente, mantenuta a 25 °C, e con umidità controllata compresa tra 70% e 80%. Le istantanee del campione sferico dell’impasto sono state scattate a intervalli di tempo fissi (20 min) da uno specifico software di registrazione fatto in casa. Le immagini sono state elaborate dal software con plug-in di rilevamento dei bordi, utilizzato per misurare la variazione di volume dell’impasto campioni. per la cottura è stato utilizzato un tradizionale forno per pizza a legna (Pizzeria Parco Sportivo Sant’Anna, Massa Lubrense, Napoli, Italia). Da notare che nell’impasto per pizza è stata incorporata una termocoppia (sonda) J e mantenuta durante l’intero processo di cottura.
Misure reologiche

Le misurazioni reologiche sono state eseguite su un reometro rotazionale a stress controllato (Discovery Hybrid Rheometer 2, TA Instruments, USA) dotato di un’unità Peltier per il controllo della temperatura e con piastre parallele sabbiate con un diametro di 40 mm per prevenire lo slittamento. È stata utilizzata una trappola per solventi per impedire l’essiccazione del campione. È stato utilizzato un coefficiente di 0,957 μm °C per tenere conto dell’espansione termica del sistema di misurazione durante le rampe di raffreddamento/riscaldamento. Le misurazioni dinamiche sono state eseguite in regime viscoelastico lineare (LV) imponendo una deformazione dello 0,01%. Tale deformazione garantisce l’esecuzione del test di scansione in frequenza in LV nell’intero intervallo di frequenza esplorato, il modulo elastico immagazzinato durante il ciclo di deformazione, e ?″G″, il viscoso modulo dissipato dal materiale, si misurano in funzione della frequenza ai vari tempi di lievitazione. Il test della rampa di temperatura dinamica è stato eseguito a 10 rad/s in un intervallo di temperatura compreso tra 25 °C e 104 °C. Durante le rampe termiche, conviene presentare la norma del modulo complesso, ||?∗|||G∗|, in funzione del tempo. La velocità di riscaldamento è stata studiata in modo da seguire la vera storia termica della pizza -impasto durante la cottura nel forno a legna. A tal fine, le velocità di riscaldamento erano: a 35 °C/min tra 25 °C e 90 °C, 11 °C/min tra 90 °C e 102 °C e 2° C/min tra 102 °C e 104 °C. La riproducibilità è stata verificata da misurazioni multiple eseguite su campioni freschi, con un errore relativo inferiore al 5% (barre di errore non mostrate). F. Attrezzatura per la formazione di schiuma L’autoclave schiumogena mini-batch descritta è stato utilizzato per preparare la pizza schiumata a gas. Potete vedere uno schizzo dell’allestimento fatto in casa nel materiale supplementare (Fig. S1). In breve, è costituito da un recipiente a pressione termoregolato basato su un raccordo incrociato NPT da 1/2″ (modello 15–24 NFD, di High Pressure Equipment Company, Erie, PA, USA). Il sistema di scarico della pressione è composto da una valvola di scarico (modello 15–71 NFB, HiP), un attuatore elettromeccanico (modello 15–72 NFB TSR8, HiP) e un’elettrovalvola. La cronologia della pressione è stata registrata da un sistema di acquisizione dati (DAQ PCI6036E, National Instruments) e da un trasduttore di pressione (modello P943, Schaevitz-Measurement Specialties, Hampton, VA, USA). È stata inoltre adottata una finestra in zaffiro a tenuta di pressione da 1/2″ NPT per l’osservazione visiva del campione (Precision Sapphire Technologies, Ltd., Vilnius, Lituania). L’autoclave è stata dotata di un controllo elettronico per imporre un preciso storico della pressione, avvalendosi di due elettrovalvole collegate rispettivamente alla linea di dosaggio del gas e alla linea di evacuazione. L’apertura e la chiusura delle valvole sono state controllate da una scheda elettronica (Arduino MEGA 2560 Rev 3, Arduino S.r.l., Strombino, Torino, Italia), e l’errore rispetto ai programmi di pressione è stato mantenuto entro 0,2 bar. Grado tecnico di CO2 e He è stato acquistato dalla Società Ossigeno Liquido (Monza, Italia) e utilizzato come agenti espandenti.
-L’effetto del processo di lievitazione sulla struttura finale dell’impasto è stato studiato con il setup fotografico time-lapse su YD e NYD. La Figura 1(a) riporta l’evoluzione temporale dell’area frontale del campione normalizzata rispetto all’area iniziale, ?/?0A/A0. YD mostra un aumento pronunciato di ?/?0A/A0, con questo processo che raggiunge un valore costante dopo 24 h, con un aumento di area di circa il 20%. NYD, d’altra parte, mostra variazioni di volume trascurabili nel tempo.
-In particolare, per il NYD si osserva una piccola diminuzione di ?/?0A/A0, a seconda dell’azione esercitata sul campione dalla forza di gravità. L’andamento non monotono del rapporto ?/?0A/A0 di YD potrebbe dipendere dagli effetti concorrenti delle forze di lievitazione e gravità.
Risultati dell’esperimento time lapse della lievitazione.
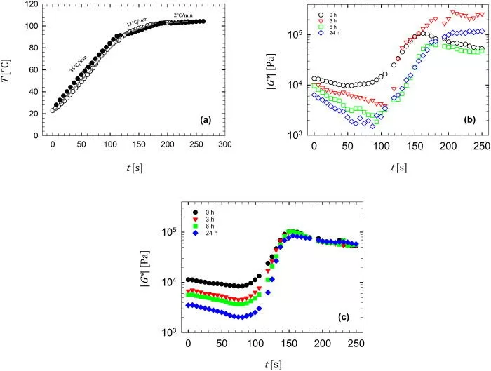
Area ratio (misurata come l’area transitoria del campione di pasta divisa per quella iniziale) in funzione del tempo. (b)–(c): G′ e ?″G″ per i campioni YD, a tempi di lievitazione differenti. (d)–(e): G′ e ?″G″ per i campioni NYD a tempi di lievitazione differenti. PPT|Alta risoluzione La figura 1 riporta anche i moduli elastici (b) e (d) e viscosi (c) ed (e), a T = 25 °C, dei due campioni (YD, NYD) durante il processo di lievitazione. In entrambi i casi e per qualsiasi tempo di prova, ?′>?″G′>G″, significa che l’impasto ha un comportamento prevalentemente solido.36 I moduli viscoelastici diminuiscono con l’aumentare del tempo di lievitazione, sebbene il campione NYD mostri un rammollimento più forte . Per entrambi i campioni, l’enzima di degradazione del glutine, la proteasi,51 entra in azione nel tempo. Per il campione YD, insieme all’azione proteasica, la frazione di volume delle bolle di gas aumenta a causa della reazione chimica del lievito. Come precedentemente dimostrato teoricamente52,53 la presenza di vuoti in un materiale reale provoca una riduzione del modulo di taglio statico. Ciò suggerirebbe che i processi di lievitazione e proteasi siano sinergici e potrebbero svolgere un ruolo simile nell’influenzare l’elasticità dell’impasto. Tuttavia, questa ipotesi non è supportata dai dati sperimentali riportati in Fig. 1, dove il campione YD mostra una maggiore elasticità rispetto al campione NYD, all’aumentare del tempo di lievitazione. Sebbene nel presente lavoro non si raggiunga una spiegazione definitiva, possiamo affermare che il meccanismo non è sicuramente banale. Si potrebbe ipotizzare che il processo proteasico sia influenzato dalla presenza del lievito e/o che la gelificazione in corso dipenda da come si sviluppa la morfologia dell’impasto nel tempo (ovvero, la presenza di vuoti modifica la cinetica di gelificazione).25 B. Cottura Il profilo termico dell’impasto per pizza durante la cottura nel forno a legna è riportato in Fig. 2(a). Da notare che, nonostante la temperatura di 350 °C ca. del forno, si osserva una temperatura molto più bassa nell’impasto, a causa, tra l’altro, della resistenza al trasferimento di calore e dell’endotermia della reazione di evaporazione dell’acqua.46,54 La storia termica vissuta dal gas misurato dalla termocoppia J incorporata l’impasto può essere suddiviso in tre intervalli di temperatura, ovvero 25–90 °C, 90–102 °C e 102–104 °C. Eseguendo delle regressioni lineari su ciascuna fascia di temperatura, è possibile rilevare la velocità di riscaldamento dell’impasto per pizza durante la cottura. Gli adattamenti sono mostrati con linee grigie, le velocità di riscaldamento sono rispettivamente di 35, 11 e 2 °C/min. La figura 2(a) riporta anche la storia della temperatura raggiunta nel reometro dopo aver imposto le velocità di riscaldamento osservate. L’accordo ci consente di utilizzare i dati reologici per progettare le fasi di elaborazione.
Confronto delle cronologie di temperatura.

Cronologia della temperatura dell’impasto risultante dalla cottura nel forno per pizza (sensore incorporato nell’impasto – simboli aperti) e cronologia della temperatura del reometro dal programma di temperatura adottato (simboli chiusi). (b) e (c):
-Risultati reologici delle prove di cottura dell’impasto dopo diversi tempi di lievitazione (0–3–6–24 h) a pressione ambiente: modulo complesso in funzione del tempo, (b) YD e (c) NYD campioni. riportano il modulo complesso in funzione del tempo per YD e NYD, rispettivamente, durante il processo di cottura, a pressione ambiente e imponendo lo storico della temperatura. Come nella sez. III A, sono stati considerati campioni con tempi di lievitazione differenti, in entrambi i campioni YD e NYD, è possibile osservare un tempo di ritardo per lo sviluppo della struttura dell’ordine di 100 s. Come previsto, ||?∗|||G*| diminuisce leggermente all’aumentare della temperatura da 20 °C a circa 65 °C, probabilmente a causa dell’acqua liberata dall’amido danneggiato nella fase iniziale della cottura. Dopo il tempo di latenza, un forte aumento di ||?∗|||G* | si può osservare che segna l’inizio del passaggio impasto/mollica. Un forte aumento del modulo complesso è da ascrivere alla gelificazione dell’amido contenuto nella farina. La rete del glutine, infatti, viene rafforzata attraverso la formazione di ulteriori croci -collegamenti, come i legami disolfuro, che portano al termoindurimento della struttura. Alla fine si raggiunge un valore di plateau a circa 200 s per entrambi i campioni. I campioni YD e NYD mostrano un comportamento simile, evidenziando un effetto minore del lievito sulla struttura finale, come supportato anche da Singh. I fenomeni di gelificazione dei granuli di amido guidano lo sviluppo del modulo dell’impasto durante la fase di cottura. Di conseguenza, solo gli ingredienti che influiscono sulla gelificazione dell’amido influiranno sullo sviluppo del modulo. I risultati osservati si sono rivelati incoraggianti per l’adozione del nuovo processo di cottura e schiumatura sul campione NYD. Il tempo di ritardo rappresenta un’importante opportunità per il caricamento del gas nella struttura dell’impasto mediante pressurizzazione. Durante questo tempo, l’agente espandente fisico è in grado di diffondersi e solubilizzarsi nell’impasto, principalmente nella fase liquida, come nel tradizionale campione YD. Un graduale rilascio di pressione potrebbe indurre la formazione e l’espansione delle bolle, mentre le alte temperature determinano il struttura della schiuma dovuta alla reazione di gelatinizzazione dell’amido e all’aggregazione delle proteine del glutine. Un uso attento e ingegnoso della pressione e della temperatura potrebbe portare alla giusta consistenza richiesta per una pizza ottimale.
Cottura al forno.

Considerando i profili di temperatura e il progetto effettivo dell’autoclave, abbiamo deciso di lavorare in modalità isotermica. Dopo una procedura simile a quella descritta nella Sez. II D, la temperatura di controllo dell’autoclave è stata fissata a 145 °C. Quindi, viene mantenuto costante per 70 s, seguito da una depressurizzazione lineare fino a pressione ambiente in 100 s. L’assorbimento dell’agente espandente inizia immediatamente con l’aumento lineare della pressione e continua per i 70 s della fase isobarica. La fase di pressurizzazione blanda di 30 secondi viene utilizzata per non indurre sollecitazioni e non distruggere l’eventuale presenza di vuoti prodotti dall’aerazione meccanica durante la fase di miscelazione. L’assorbimento induce sia la solubilizzazione dell’agente espandente nell’impasto che la pressurizzazione del vuoti formati con aerazione meccanica. È condotto su un impasto a basso modulo, come osservato nei primi 100 s del test di rampa di temperatura dinamica. Vale la pena notare, qui, che il raggiungimento di una schiuma uniforme richiede un profilo di concentrazione uniforme dell’agente espandente nel campione. A tal fine, il tempo di assorbimento dovrebbe essere paragonabile o maggiore del tempo di diffusione caratteristico. Programma di elaborazione della schiumatura (pressione vs tempo—simboli chiusi) e curve di cottura reologiche. A titolo di confronto, è incluso anche un profilo di pressione (linea tratteggiata-punto) in cui la pressione viene mantenuta costante per un tempo più lungo (prima della depressurizzazione dell’autoclave). La caduta di pressione è di 3,6 bar/min. L’immagine in basso a sinistra mostra il campione ottenuto con lo storico della pressione rappresentato dalla linea continua. L’immagine in basso a destra mostra il campione ottenuto con lo storico della pressione rappresentato dalla linea tratteggiata.







Nessun commento presente